最近搜索:细胞培养 微生物学 分子生物 生物化学
开云(中国)>>生化试剂>>染色剂/指示剂>>Biotin ethylenediamine iodoacetamide(生物素乙二胺碘乙酰胺)
Biotin ethylenediamine iodoacetamide(生物素乙二胺碘乙酰胺)
  • 产品货号:
    BN15044
  • 中文名称:
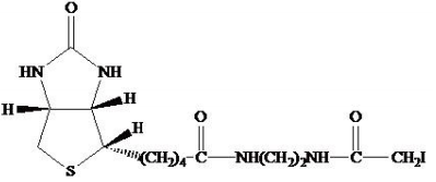
    Biotin ethylenediamine iodoacetamide(生物素乙二胺碘乙酰胺)
  • 英文名称:
    Biotin ethylenediamine iodoacetamide
  • 品牌:
    Biorigin
  • 货号

    产品规格

    售价

    备注

  • BN15044-25 mg

    25 mg

    ¥950.00

产品描述

应用范围:羧基反应染料

产品参数 

外观:可溶于 DMF 的白色固体 

贮存条件:-20℃避光保存 

保质期:12 个月 

分子式:C14H23IN4O3S 

分子量:454.33

image.png

产品介绍 

Biotin ethylenediamine iodoacetamide很容易与硫醇耦合。 

注意事项 

为了您的安全和健康,请穿实验服并戴一次性手套操作。