

货号
产品规格
售价
备注
BN14010-10 mg
10 mg
¥480.00
产品描述
应用范围:细胞膜荧光染料、神经元顺行和逆行示踪、细胞长期示踪
产品参数
外观:可溶于乙醇、DMF、DMSO 的深红色固体
λEx/λ Em(MeOH)= 549/565 nm
CAS 号:41085-99-8
分子式:C59H97ClN2O4
分子量:933.88
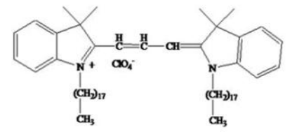
分子结构图:

贮存条件 -20℃ 避光保存,保质期 12 个月。
产品介绍
DiI 即 DiIC18(3),全称为 1,1'-dioctadecyl-3,3,3',3'tetra- methylindocarbocyanine perchlorate,是最常用的细胞膜荧光探针之一,呈现橙红色荧光。DiI 是一种亲脂性膜染料,进入细胞膜后可以侧向扩散逐渐染色整个细胞的细胞膜。DiI 在进入细胞膜之前荧光非常弱,仅当进入到细胞膜后才可以被激发出很强的荧光。常与 DiA 一起用于细胞膜双色标记。
DiI 作为示踪剂或长期示踪剂(long-term tracer),可以被 广泛用于正向或逆向,活的或固定的神经等细胞或组织。 DiI 通常不会影响细胞的生存力(viability)。被 DiI 标记的神经细胞在体外培养的条件下可以存活长达 4 周,在体内可以 长达一年。DiI 在被固定的神经元细胞膜上的迁移速率为 0.2-0.6 mm/day,在活的神经元细胞膜上的的迁移速率为 6 mm/day。
DiI 除了用于细胞膜荧光标记外,还可用于检测细胞的融合和粘附,发育或移植过程中细胞的迁移,通过 FRAP(Fluorescence Recovery After Photobleaching)检测脂在细胞膜上的扩散,检测细胞毒性和标记脂蛋白等。
DiI 染色后可进行多聚甲醛(不可使用甲醇等其他试剂)的固定,但不建议在染色后进行透化的过程。此外,在固定透化(室温下用 0.1% TritonX-100 透化)后,也可以很好地进行质膜染色。
注意事项
1. DiI 染色固定的细胞或组织样品时,样品宜使用配制在 PBS 中的 4%多聚甲醛进行固定,使用其它不适当的固定液会导致荧光背景较高。
2. 荧光染料均存在淬灭问题,请尽量注意避光,以减缓荧光淬灭。
3. 为了您的安全和健康,请穿实验服并戴一次性手套操作。