

货号
产品规格
售价
备注
BN14008-5 mg
5 mg
¥250.00
产品描述
应用范围:膜电位染色
产品参数
外观:可溶于 DMF 或 DMSO 的橘色固体
λEx/λ Em (MeOH) = 493/516 nm
CAS 号:70363-83-6
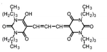
分子式:C27H40N4O6
分子量:519
分子结构图:

贮存条件 -20℃避光保存,保质期一年。
产品介绍
DiBAC4(3) 是一种检测细胞膜电位的亲脂性阴离子荧光染料,它本身无荧光,当进人细胞与胞浆内的蛋白质结合后才发出荧光。当 DiBAC4(3) 进入细胞后,指示细胞内荧光强度增加,即膜电位增加表示细胞去极化;反之,若细胞内荧光强度降低,即膜电位降低表示细胞超极化。
注意事项
1. 荧光染料均存在淬灭问题,请尽量注意避光,以减缓荧光淬灭。
2. 为了您的安全和健康,请穿实验服并戴一次性手套操作。