

货号
产品规格
售价
备注
BN13015-50 μL
50 μL
¥650.00
产品描述
产品参数
外观:可溶于DMSO的橙红色固体(F3005)
贮存条件:-20℃ 避光保存
保质期:12个月
CAS号:121714-22-5
分子式:C51H50Cll2N2O23
分子量:1129.9
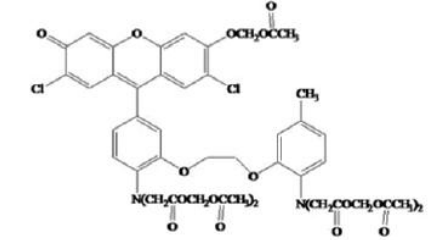
分子结构图:

产品介绍
Fluo-3, AM ester是一种可以穿透细胞膜的荧光染料。Fluo-3, AM ester 进入细胞后可以被细胞内源性酯酶剪切形成Fluo-3,从而被滞留在细胞内。Fluo-3可以和钙离子结合,结合钙离子后可以产生较强的荧光,最大激发波长为506 nm,最大发射波长为526 nm。
注意事项
1. 如果使用含有血清的培养基,血清中的酯酶会分解AM体,从而降低Fluo-3, AM 进入细胞的效果。另外,含有酚红的培养基会使本底值略微偏高,所以加工作液之前,应尽量去除培养基残留。
2. 荧光染料均存在淬灭问题,请尽量注意避光,以减缓荧光淬灭。
3. 本Fluo-3, AM容易吸潮,从冰箱取出后,请确认在干燥的环境放至室温后再开封。由于试剂极微量,开封前请将其短暂离心,以保证粉末落入管底。
4. Fluo-3, AM遇水极易分解,如果不能一次用完,建议将储液小量分装保存。